专为高中生提供有价值的资讯
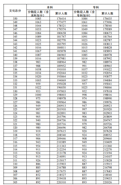
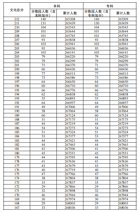
广东2025年高考尚未开始,历史类一分一段表尚未出炉。高考“一分一段表”是考生填报志愿的核心工具,其核心功能是通过分数排名帮助考生精准定位竞争位置。小编在下文整理了2024年广东高考历史类一分一段成绩排名表,供各位2025广东高考生参考。

一分一段表可以让考生对每一个分数段上有多少人一目了然,也能清楚确定自己高考成绩在本省的位置,实现精准定位。小编在下文整理了2024年广东高考历史类一分一段表,供各位2025广东高考生参考。










在使用一分一段表时,应该对比广东近三年来的“一分一段”表,而不是单一使用某一年的一分一段表。看看所想要填报的大学连续三四年的最低录取分数线在哪个段位(即高出所在批次多少分),若自己的分数比至少两年的段位高,那报考该校把握较大。
比如,去年武汉大学理科在某省录取最低分数线为591分,今年一名考生理科考了592分,并不代表他今年报考武大就能“踩线录取”。因为去年该省理科591分对应的考生人数为3890人;而今年因该省600分以上的考生普遍较多,理科592分对应的考生人数多达20116人,今年的理科592分显然“贬值”了。
因此广东考生在对照高校往年录取分数线时,应以对比人数位次为主,若所在位次高于往年该校在本省录取分数位次,则说明报考有希望。
Copyright 2019-2029 http://www.98gaokao.com 【九八高考】 皖ICP备19022700号-4
声明: 本站 所有软件和文章来自互联网 如有异议 请与本站联系 本站为非赢利性网站 不接受任何赞助和广告