专为高中生提供有价值的资讯
(网络收集)2024年新课标Ⅱ卷数学卷高考真题带答案带解析文字版
一、
1.

A.0
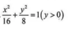
B.1
C.
D.2
【答案】C
【解析】 
2.

A.
B.
C.
D.
【答案】B
【解析】
3.

A.
B.
C.
D.1
【答案】A
【解析】

4.

A.
B.
C.
D.
【答案】C
【解析】中位数错误,标差介于200kg-300Kg之间
选 
5.

A.
B.
C.
D.
【答案】A
【解析】

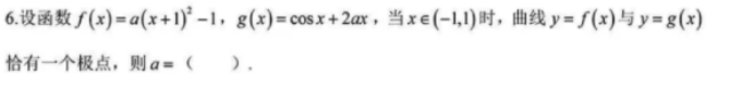
6.

A.-1
B.
C.1
D.2
【答案】D
【解析】

7.


A.
B.1
C.2
D.3
【答案】B
【解析】

关键在于利用体积转化构建与正切的关系
8.

A.
B.
C.
D.1
【答案】C
【解析】

二、多选题
9.

A.
B.
C.
D.
【答案】BC
【解析】

10.

A.
B.
C.
D.
【答案】ABD
【解析】依次代入抛物线方程,联立求解,所以C错, ABD对
11.

A.
B.
C.
D.
【答案】D
【解析】

三、填空题
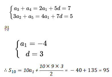
12.

【答案】95
【解析】解析:命题意图是考察正确应用等差数列的通项公式和求和公式
以及会解相关方程
13.

【答案】
【解析】考察三角恒等式变形

14.

【答案】24;58
【解析】(1)41=4
3
2
1=24
(2) 分别列出,13,14,15,16最大,13+14+15+16=58.
四、解答题
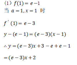
15.


【答案】

【解析】


16.

【答案】

【解析】


17.


【答案】
(2)正弦值为0
【解析】



18.


【答案】(1)0.686
(2)(i)乙
(ii)甲
【解析】(1)

(2)

19.

【答案】
(2)看解析
(3)看解析
【解析】(1)

(2)

(3)

Copyright 2019-2029 http://www.98gaokao.com 【九八高考】 皖ICP备19022700号-4
声明: 本站 所有软件和文章来自互联网 如有异议 请与本站联系 本站为非赢利性网站 不接受任何赞助和广告