专为高中生提供有价值的资讯
湖南省湘西州吉首市2024届高三上学期第二届中小学生教师解题大赛 物理
栏目:高考新闻时间:23-12-01人气:0
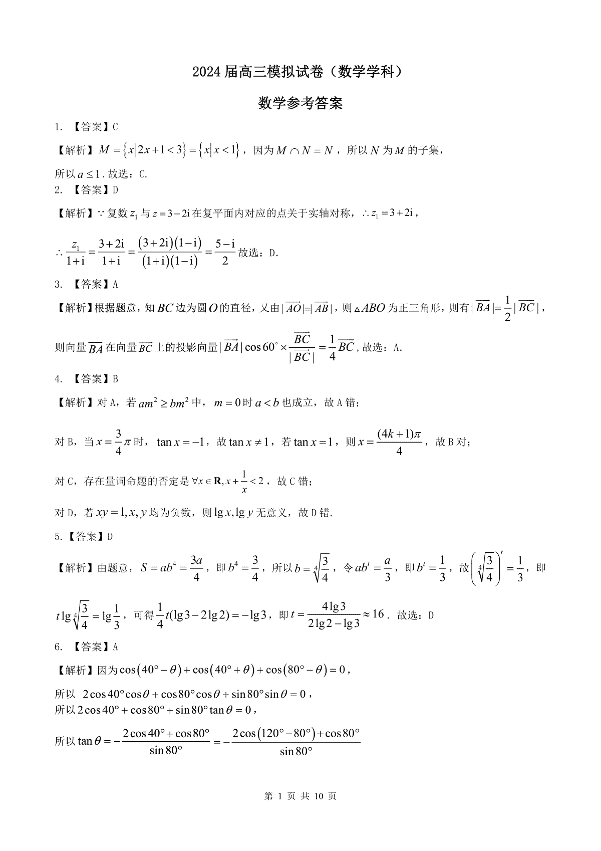
湖南省湘西州吉首市2024届高三上学期第二届中小学生教师解题大赛 数学参考答案
栏目:高考新闻时间:23-12-01人气:0
湖南省湘西州吉首市2024届高三上学期第二届中小学生教师解题大赛 数学
栏目:高考新闻时间:23-12-01人气:0
湖南省湘西州吉首市2024届高三上学期第二届中小学生教师解题大赛 化学
栏目:高考新闻时间:23-12-01人气:0
湖南省湘西州吉首市2024届高三上学期第二届中小学生教师解题大赛 生物参考答案
栏目:高考新闻时间:23-12-01人气:1
Copyright 2019-2029 http://www.98gaokao.com 【九八高考】 皖ICP备19022700号-8
声明: 本站 所有软件和文章来自互联网 如有异议 请与本站联系 本站为非赢利性网站 不接受任何赞助和广告