专为高中生提供有价值的资讯
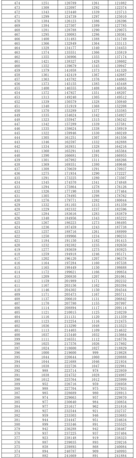
2024湖南高考物理类一分一段表已经发布,其中692分累计人数是57人;688分累计人数是100人;683人累计人数是195人;681分累计人数是246人;679人累计人数是306人。以下是详细内容,大家可以看一看。

高考一分一段表是查询省排名最重要的资料,也是各位高考生填报志愿必须查看的资料。2024湖南高考物理类一分一段表如下:





找准位置
填报志愿最关键的第一步,是在“一分一段表”中查找与自己成绩相对应的分数排名,以及这一位次的成绩共有多少考生,以此来确定个人成绩在全省的位置。
同时,查一下自己的目标院校在往年的录取线是多少,该院校的录取线在当年“一分一段表”中的位置,再查一下该院校在当年的招生人数,参照今年的招生计划人数,综合判断自己今年的位置是否能够被目标院校录取。
分析填报梯度
考生可以根据自己的分数对照一分一段表,再参照今年各类高校各批次招生计划数,确定自己该如何填报志愿。
考生要看该批次招多少人,自己处于哪个层次。如果成绩所在的某一分数段上其他考生过于集中,那么在填报志愿时就应注意保持各院校、各专业的志愿填报梯度。
此外,在平行志愿填报时,需要注意6个志愿之间的梯度,可以参照“冲、稳、保”的策略来选择学校,合理确定各志愿高校之间的梯度。
看高校近三年的录取
对比一下近三年来的“一分一段”表,看看所想要填报的大学连续三四年的校线在哪个段位(即高出所在批次多少分),若自己的分数比至少两年的段位高,那报考该校把握较大。
多渠道了解其他考生填报意向
因为看“一分一段表”,有的分数段内只有数十名考生,有的则有数百名。分数处于密集段的学生,“一分一段表”的参考价值将降低。考生填报志愿时尽量多通过高校招办、老师、同学了解其他考生志愿填报意向,慎重选择历年报考较热、今年在本省投放招生计划数少的院校,以避免因志愿“扎堆”而落档的风险。
如果同一个分数段里出现了考生扎堆的现象,就要更加谨慎填报,例如看去年的录取分数线时,假设去年考生的成绩要超过录取分数线30分能上某所学校,但是去年这个段位没有出现扎堆现象,所以今年要超过40分才比较有把握。
Copyright 2019-2029 http://www.98gaokao.com 【九八高考】 皖ICP备19022700号-4
声明: 本站 所有软件和文章来自互联网 如有异议 请与本站联系 本站为非赢利性网站 不接受任何赞助和广告