专为高中生提供有价值的资讯
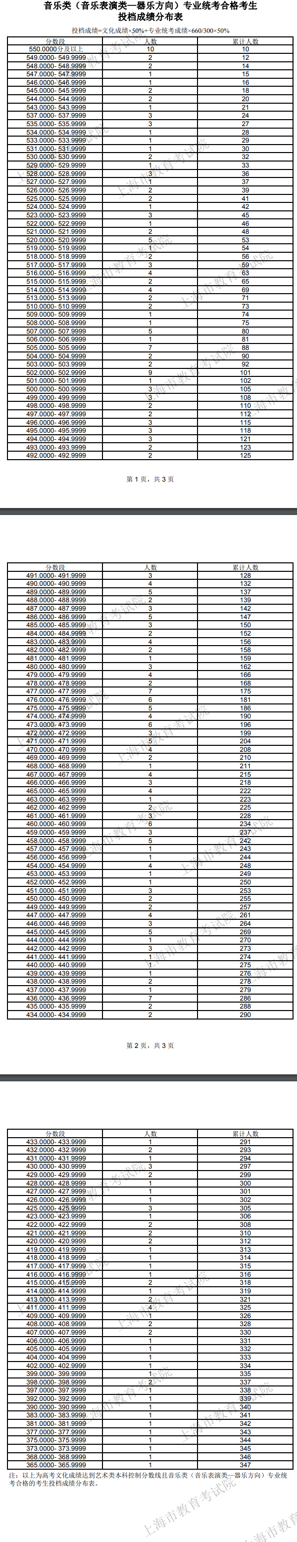
上海2024高考艺术音乐表演类—器乐方向一分一段表已经发布,其中音乐表演类—器乐方向550.0000分及以上累计人数是10人;549.0000- 549.9999累计人数是12人;548.0000-548.9999累计人数是14人等。以下是详细内容,大家可以看一看。

音乐类(音乐表演类—器乐方向)专业统考合格考生投档成绩分布表
投档成绩=文化成绩×50%+专业统考成绩×660/300×50%

上海高考一分一段表是考生和家长在志愿填报阶段不可或缺的参考工具,它能帮助考生准确定位自己在全体考生中的排名情况,进而更加科学地选择志愿。以下是使用上海高考一分一段表的一般步骤:
1. 访问官方平台:首先,你需要登录上海市教育考试院的官方网站,这是获取最新、最权威一分一段表的直接途径。也可以关注上海市教育考试院的官方微信公众号或微博,这些官方渠道也会同步发布相关信息。
2. 查找一分一段表:在考试院的网站上,找到“普通高考”或“高考服务”等相关栏目,点击进入后,寻找“一分一段表”或“成绩排名”等链接。每年高考成绩发布后,一分一段表通常会随之公布。
3. 选择对应类别:上海高考分为不同的考试类别,如文史类和理工类(或称为综合改革类),你需要根据自己的考试类型选择对应的分数段表进行查看。
4. 查询个人位次:在一分一段表中,找到你的高考总分所在的分数段,对应的“累计人数”即是你在该科类中的大致排名。例如,如果你的总分是480分,且一分一段表显示480分的累计人数为8000人,这意味着你在该科类中排名大约是第8000名。
5. 分析与应用:结合一分一段表和历年高校录取分数线及位次,上海考生可以分析自己被心仪院校及专业录取的可能性。同时,对比不同院校及专业的往年初录取位次,可以帮助你合理安排志愿顺序,制定更加稳妥的志愿填报策略。
一分一段表的使用是一个动态过程,需要结合个人情况、高校招生计划及政策变化等多方面因素综合考虑。在志愿填报时,也可以咨询学校的老师或专业的志愿填报顾问,以获得更个性化的指导。
Copyright 2019-2029 http://www.98gaokao.com 【九八高考】 皖ICP备19022700号-4
声明: 本站 所有软件和文章来自互联网 如有异议 请与本站联系 本站为非赢利性网站 不接受任何赞助和广告