专为高中生提供有价值的资讯
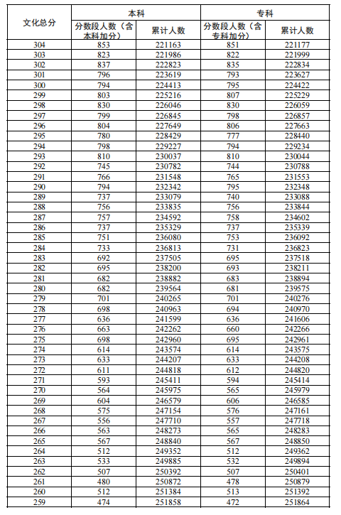
2024广东高考成绩历史类一分一段表已经公布,通过查看一分一段表,考生可以了解目标院校和专业的录取情况和竞争情况,从而更好地选择适合自己的院校和专业。更多相关内容小编整理在下方了,往下看吧。

根据历史类一分一段表显示,665分及以上的广东考生有20人;660分段的广东历史类考生有6人,累计人数为46人。













一分一段表只是一个参考工具,不能完全依赖它来做出决策。考生的排名情况会受到很多因素的影响,如试题难度、评卷标准等,因此需要结合其他因素进行综合分析。
考生在使用一分一段表时需要注意数据的时效性。一分一段表的数据通常是基于当年的考试成绩和招生计划进行的统计,因此需要及时关注当年的招生政策和录取规则的变化情况。
考生在使用一分一段表时还需要注意数据的准确性。一分一段表的数据是通过人工统计得出的,因此可能会存在误差和不准确的情况。因此,考生在使用数据时需要进行核实和验证,避免因为数据不准确而做出错误的决策。
考生在使用一分一段表时还需要注意数据的全面性。一分一段表的数据是针对全省范围内的考生的统计结果,因此可能会受到一些特定因素的影响,如地区差异等。因此,考生在使用数据时需要进行全面的分析和比较,避免因为数据不全面而做出错误的决策。
最后,考生在使用一分一段表时还需要注意结合其他因素进行综合分析。除了排名情况和录取情况之外,考生的兴趣爱好、职业规划等因素也需要考虑在内。只有综合考虑多个因素才能做出更加科学合理的决策。
一分一段表,是将全省同科类考生的档案分从高到低排列,再按每1分一段,统计“本段人数”;从本段向上一直到最高分段的所有“本段人数”相加,则为“累计人数”。
“一分一段表”是包含了加分的,加分也会体现在“一分一段表”中,考生不必担心是否有成绩在自己后面的考生,通过加分后超越自己。
通过这个表,考生不仅知道各批次的分数线,同时还能了解自己在全省考生中的排位,更有利于考生对自己进行合理的定位。
建议考生下载一份本省的一分一段表,便于随时分析、使用。一分一段表上显示出每一个分数全省的考生有多少名,这个数据的参考价值最大。
1.2024广东高考一分一段表【历史类】 最新成绩位次对照表
Copyright 2019-2029 http://www.98gaokao.com 【九八高考】 皖ICP备19022700号-4
声明: 本站 所有软件和文章来自互联网 如有异议 请与本站联系 本站为非赢利性网站 不接受任何赞助和广告