专为高中生提供有价值的资讯
2024年湖南高考一分一段表已经公布,为了方便大家大致了解自己成绩排名,小编整理了2024年湖南一分一段表供大家参考。

2024湖南高考物理类一分一段表:





2024湖南历史类一分一段表:





湖南2023高考历史类一分一段表已经公布!其中高于655分(含全国性和地方性加分)的湖南考生共有55人,654分的湖南考生共有5人。
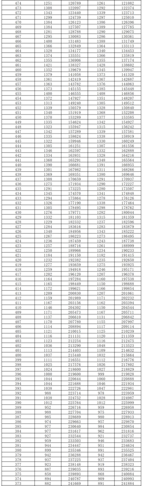
| 湖南省2023年普通高考档分1分段统计表(历史科目组合) | ||||
| 档分 | 本段人数 | 累计人数 | 本段人数 | 累计人数 |
| (含全国性加分) | (含全国性和地方性加分) | |||
| 655 | 4 | 53 | 5 | 55 |
| 654 | 5 | 58 | 5 | 60 |
| 653 | 6 | 64 | 5 | 65 |
| 652 | 11 | 75 | 12 | 77 |
| 651 | 4 | 79 | 6 | 83 |
| 650 | 7 | 86 | 7 | 90 |
| 649 | 11 | 97 | 10 | 100 |
| 648 | 14 | 111 | 12 | 112 |
| 647 | 7 | 118 | 8 | 120 |
| 646 | 10 | 128 | 12 | 132 |
| 645 | 12 | 140 | 13 | 145 |
| 644 | 13 | 153 | 14 | 159 |
| 643 | 11 | 164 | 11 | 170 |
| 642 | 14 | 178 | 14 | 184 |
| 641 | 17 | 195 | 17 | 201 |
| 640 | 20 | 215 | 20 | 221 |
| 639 | 14 | 229 | 15 | 236 |
| 638 | 20 | 249 | 20 | 256 |
| 637 | 19 | 268 | 18 | 274 |
| 636 | 23 | 291 | 23 | 297 |
| 635 | 21 | 312 | 21 | 318 |
| 634 | 27 | 339 | 29 | 347 |
| 633 | 25 | 364 | 27 | 374 |
| 632 | 18 | 382 | 19 | 393 |
| 631 | 18 | 400 | 16 | 409 |
| 630 | 18 | 418 | 19 | 428 |
| 629 | 18 | 436 | 18 | 446 |
| 628 | 20 | 456 | 21 | 467 |
| 627 | 21 | 477 | 23 | 490 |
| 626 | 23 | 500 | 20 | 510 |
| 625 | 39 | 539 | 37 | 547 |
| 624 | 26 | 565 | 25 | 572 |
| 623 | 28 | 593 | 30 | 602 |
| 622 | 30 | 623 | 34 | 636 |
| 621 | 31 | 654 | 34 | 670 |
| 620 | 39 | 693 | 39 | 709 |
| 619 | 34 | 727 | 35 | 744 |
| 618 | 44 | 771 | 42 | 786 |
| 617 | 34 | 805 | 36 | 822 |
| 616 | 57 | 862 | 54 | 876 |
| 615 | 35 | 897 | 35 | 911 |
| 614 | 46 | 943 | 43 | 954 |
| 613 | 57 | 1000 | 62 | 1016 |
| 612 | 48 | 1048 | 50 | 1066 |
| 611 | 48 | 1096 | 53 | 1119 |
| 610 | 51 | 1147 | 46 | 1165 |
| 609 | 57 | 1204 | 62 | 1227 |
| 608 | 60 | 1264 | 60 | 1287 |
| 607 | 47 | 1311 | 51 | 1338 |
| 606 | 53 | 1364 | 51 | 1389 |
| 605 | 58 | 1422 | 62 | 1451 |
| 604 | 69 | 1491 | 66 | 1517 |
| 603 | 75 | 1566 | 73 | 1590 |
| 602 | 68 | 1634 | 61 | 1651 |
| 601 | 66 | 1700 | 65 | 1716 |
| 600 | 55 | 1755 | 53 | 1769 |
| 599 | 72 | 1827 | 75 | 1844 |
| 598 | 86 | 1913 | 89 | 1933 |
| 597 | 65 | 1978 | 70 | 2003 |
| 596 | 64 | 2042 | 72 | 2075 |
| 595 | 82 | 2124 | 85 | 2160 |
| 594 | 82 | 2206 | 82 | 2242 |
| 593 | 83 | 2289 | 78 | 2320 |
| 592 | 81 | 2370 | 81 | 2401 |
| 591 | 84 | 2454 | 80 | 2481 |
| 590 | 92 | 2546 | 94 | 2575 |
| 589 | 83 | 2629 | 83 | 2658 |
| 588 | 96 | 2725 | 95 | 2753 |
| 587 | 91 | 2816 | 91 | 2844 |
| 586 | 88 | 2904 | 97 | 2941 |
| 585 | 96 | 3000 | 101 | 3042 |
| 584 | 99 | 3099 | 99 | 3141 |
| 583 | 85 | 3184 | 92 | 3233 |
| 582 | 105 | 3289 | 108 | 3341 |
| 581 | 91 | 3380 | 95 | 3436 |
| 580 | 98 | 3478 | 89 | 3525 |
| 579 | 94 | 3572 | 96 | 3621 |
| 578 | 109 | 3681 | 107 | 3728 |
| 577 | 94 | 3775 | 105 | 3833 |
| 576 | 124 | 3899 | 116 | 3949 |
| 575 | 118 | 4017 | 125 | 4074 |
| 574 | 111 | 4128 | 112 | 4186 |
| 573 | 110 | 4238 | 105 | 4291 |
| 572 | 116 | 4354 | 111 | 4402 |
| 571 | 121 | 4475 | 119 | 4521 |
| 570 | 126 | 4601 | 122 | 4643 |
| 569 | 143 | 4744 | 144 | 4787 |
| 568 | 113 | 4857 | 114 | 4901 |
| 567 | 106 | 4963 | 109 | 5010 |
| 566 | 120 | 5083 | 115 | 5125 |
| 565 | 127 | 5210 | 125 | 5250 |
| 564 | 139 | 5349 | 140 | 5390 |
| 563 | 149 | 5498 | 151 | 5541 |
| 562 | 133 | 5631 | 140 | 5681 |
| 561 | 162 | 5793 | 163 | 5844 |
| 560 | 134 | 5927 | 136 | 5980 |
| 559 | 137 | 6064 | 138 | 6118 |
| 558 | 147 | 6211 | 151 | 6269 |
| 557 | 174 | 6385 | 169 | 6438 |
| 556 | 139 | 6524 | 138 | 6576 |
| 555 | 147 | 6671 | 147 | 6723 |
| 554 | 163 | 6834 | 164 | 6887 |
| 553 | 165 | 6999 | 167 | 7054 |
| 552 | 141 | 7140 | 152 | 7206 |
| 551 | 169 | 7309 | 170 | 7376 |
| 550 | 174 | 7483 | 182 | 7558 |
| 549 | 165 | 7648 | 176 | 7734 |
| 548 | 194 | 7842 | 185 | 7919 |
| 547 | 166 | 8008 | 161 | 8080 |
| 546 | 167 | 8175 | 168 | 8248 |
| 545 | 173 | 8348 | 174 | 8422 |
| 544 | 185 | 8533 | 173 | 8595 |
| 543 | 185 | 8718 | 183 | 8778 |
| 542 | 175 | 8893 | 177 | 8955 |
| 541 | 175 | 9068 | 180 | 9135 |
| 540 | 167 | 9235 | 167 | 9302 |
| 539 | 200 | 9435 | 194 | 9496 |
| 538 | 199 | 9634 | 207 | 9703 |
| 537 | 195 | 9829 | 195 | 9898 |
| 536 | 217 | 10046 | 223 | 10121 |
| 535 | 233 | 10279 | 231 | 10352 |
| 534 | 219 | 10498 | 222 | 10574 |
| 533 | 226 | 10724 | 216 | 10790 |
| 532 | 221 | 10945 | 216 | 11006 |
| 531 | 221 | 11166 | 234 | 11240 |
| 530 | 233 | 11399 | 242 | 11482 |
| 529 | 238 | 11637 | 247 | 11729 |
| 528 | 251 | 11888 | 246 | 11975 |
| 527 | 270 | 12158 | 272 | 12247 |
| 526 | 261 | 12419 | 253 | 12500 |
| 525 | 253 | 12672 | 250 | 12750 |
| 524 | 256 | 12928 | 261 | 13011 |
| 523 | 245 | 13173 | 247 | 13258 |
| 522 | 263 | 13436 | 272 | 13530 |
| 521 | 255 | 13691 | 260 | 13790 |
| 520 | 280 | 13971 | 275 | 14065 |
| 519 | 274 | 14245 | 275 | 14340 |
| 518 | 293 | 14538 | 290 | 14630 |
| 517 | 301 | 14839 | 299 | 14929 |
| 516 | 329 | 15168 | 327 | 15256 |
| 515 | 272 | 15440 | 269 | 15525 |
| 514 | 257 | 15697 | 256 | 15781 |
| 513 | 278 | 15975 | 282 | 16063 |
| 512 | 283 | 16258 | 279 | 16342 |
| 511 | 322 | 16580 | 329 | 16671 |
| 510 | 276 | 16856 | 283 | 16954 |
| 509 | 322 | 17178 | 328 | 17282 |
| 508 | 355 | 17533 | 345 | 17627 |
| 507 | 307 | 17840 | 310 | 17937 |
| 506 | 327 | 18167 | 328 | 18265 |
| 505 | 300 | 18467 | 301 | 18566 |
| 504 | 336 | 18803 | 335 | 18901 |
| 503 | 321 | 19124 | 332 | 19233 |
| 502 | 355 | 19479 | 365 | 19598 |
| 501 | 374 | 19853 | 382 | 19980 |
| 500 | 341 | 20194 | 339 | 20319 |
| 499 | 367 | 20561 | 362 | 20681 |
| 498 | 357 | 20918 | 355 | 21036 |
| 497 | 375 | 21293 | 383 | 21419 |
| 496 | 365 | 21658 | 361 | 21780 |
| 495 | 383 | 22041 | 379 | 22159 |
| 494 | 384 | 22425 | 399 | 22558 |
| 493 | 377 | 22802 | 386 | 22944 |
| 492 | 426 | 23228 | 402 | 23346 |
| 491 | 370 | 23598 | 370 | 23716 |
| 490 | 399 | 23997 | 396 | 24112 |
| 489 | 411 | 24408 | 421 | 24533 |
| 488 | 423 | 24831 | 407 | 24940 |
| 487 | 422 | 25253 | 430 | 25370 |
| 486 | 404 | 25657 | 398 | 25768 |
| 485 | 381 | 26038 | 390 | 26158 |
| 484 | 455 | 26493 | 461 | 26619 |
| 483 | 464 | 26957 | 477 | 27096 |
| 482 | 434 | 27391 | 438 | 27534 |
| 481 | 471 | 27862 | 463 | 27997 |
| 480 | 453 | 28315 | 458 | 28455 |
| 479 | 443 | 28758 | 448 | 28903 |
| 478 | 460 | 29218 | 462 | 29365 |
| 477 | 491 | 29709 | 482 | 29847 |
| 476 | 439 | 30148 | 440 | 30287 |
| 475 | 475 | 30623 | 471 | 30758 |
| 474 | 465 | 31088 | 457 | 31215 |
| 473 | 516 | 31604 | 511 | 31726 |
| 472 | 491 | 32095 | 499 | 32225 |
| 471 | 467 | 32562 | 494 | 32719 |
| 470 | 491 | 33053 | 502 | 33221 |
| 469 | 533 | 33586 | 520 | 33741 |
| 468 | 559 | 34145 | 549 | 34290 |
| 467 | 527 | 34672 | 523 | 34813 |
| 466 | 531 | 35203 | 539 | 35352 |
| 465 | 526 | 35729 | 543 | 35895 |
| 464 | 525 | 36254 | 523 | 36418 |
| 463 | 545 | 36799 | 534 | 36952 |
| 462 | 564 | 37363 | 554 | 37506 |
| 461 | 589 | 37952 | 580 | 38086 |
| 460 | 545 | 38497 | 554 | 38640 |
| 459 | 518 | 39015 | 525 | 39165 |
| 458 | 535 | 39550 | 527 | 39692 |
| 457 | 564 | 40114 | 559 | 40251 |
| 456 | 583 | 40697 | 580 | 40831 |
| 455 | 548 | 41245 | 545 | 41376 |
| 454 | 547 | 41792 | 556 | 41932 |
| 453 | 573 | 42365 | 581 | 42513 |
| 452 | 570 | 42935 | 566 | 43079 |
| 451 | 538 | 43473 | 546 | 43625 |
| 450 | 577 | 44050 | 574 | 44199 |
| 449 | 550 | 44600 | 556 | 44755 |
| 448 | 574 | 45174 | 594 | 45349 |
| 447 | 595 | 45769 | 597 | 45946 |
| 446 | 555 | 46324 | 554 | 46500 |
| 445 | 596 | 46920 | 590 | 47090 |
| 444 | 598 | 47518 | 598 | 47688 |
| 443 | 596 | 48114 | 592 | 48280 |
| 442 | 600 | 48714 | 600 | 48880 |
| 441 | 589 | 49303 | 592 | 49472 |
| 440 | 599 | 49902 | 592 | 50064 |
| 439 | 634 | 50536 | 620 | 50684 |
| 438 | 595 | 51131 | 584 | 51268 |
| 437 | 600 | 51731 | 594 | 51862 |
| 436 | 593 | 52324 | 595 | 52457 |
| 435 | 611 | 52935 | 616 | 53073 |
| 434 | 635 | 53570 | 654 | 53727 |
| 433 | 605 | 54175 | 603 | 54330 |
| 432 | 614 | 54789 | 615 | 54945 |
| 431 | 633 | 55422 | 627 | 55572 |
| 430 | 619 | 56041 | 624 | 56196 |
| 429 | 608 | 56649 | 616 | 56812 |
| 428 | 566 | 57215 | 569 | 57381 |
| 427 | 625 | 57840 | 629 | 58010 |
| 426 | 628 | 58468 | 627 | 58637 |
| 425 | 615 | 59083 | 615 | 59252 |
| 424 | 648 | 59731 | 639 | 59891 |
| 423 | 588 | 60319 | 604 | 60495 |
| 422 | 661 | 60980 | 647 | 61142 |
| 421 | 611 | 61591 | 605 | 61747 |
| 420 | 591 | 62182 | 593 | 62340 |
| 419 | 659 | 62841 | 670 | 63010 |
| 418 | 624 | 63465 | 631 | 63641 |
| 417 | 625 | 64090 | 624 | 64265 |
| 416 | 620 | 64710 | 622 | 64887 |
| 415 | 633 | 65343 | 619 | 65506 |
| 414 | 627 | 65970 | 625 | 66131 |
| 413 | 690 | 66660 | 688 | 66819 |
| 412 | 615 | 67275 | 623 | 67442 |
| 411 | 647 | 67922 | 635 | 68077 |
| 410 | 621 | 68543 | 618 | 68695 |
| 409 | 621 | 69164 | 617 | 69312 |
| 408 | 648 | 69812 | 646 | 69958 |
| 407 | 630 | 70442 | 632 | 70590 |
| 406 | 636 | 71078 | 648 | 71238 |
| 405 | 654 | 71732 | 658 | 71896 |
| 404 | 652 | 72384 | 651 | 72547 |
| 403 | 623 | 73007 | 624 | 73171 |
| 402 | 661 | 73668 | 667 | 73838 |
| 401 | 602 | 74270 | 590 | 74428 |
| 400 | 650 | 74920 | 655 | 75083 |
| 399 | 669 | 75589 | 668 | 75751 |
| 398 | 626 | 76215 | 633 | 76384 |
| 397 | 638 | 76853 | 654 | 77038 |
| 396 | 680 | 77533 | 688 | 77726 |
| 395 | 691 | 78224 | 706 | 78432 |
| 394 | 670 | 78894 | 667 | 79099 |
| 393 | 652 | 79546 | 656 | 79755 |
| 392 | 649 | 80195 | 627 | 80382 |
| 391 | 652 | 80847 | 658 | 81040 |
| 390 | 687 | 81534 | 672 | 81712 |
| 389 | 647 | 82181 | 647 | 82359 |
| 388 | 647 | 82828 | 647 | 83006 |
| 387 | 631 | 83459 | 616 | 83622 |
| 386 | 684 | 84143 | 680 | 84302 |
| 385 | 649 | 84792 | 651 | 84953 |
| 384 | 639 | 85431 | 648 | 85601 |
| 383 | 661 | 86092 | 660 | 86261 |
| 382 | 675 | 86767 | 676 | 86937 |
| 381 | 627 | 87394 | 631 | 87568 |
| 380 | 675 | 88069 | 683 | 88251 |
| 379 | 625 | 88694 | 634 | 88885 |
| 378 | 660 | 89354 | 650 | 89535 |
| 377 | 661 | 90015 | 676 | 90211 |
| 376 | 634 | 90649 | 634 | 90845 |
| 375 | 677 | 91326 | 677 | 91522 |
| 374 | 686 | 92012 | 671 | 92193 |
| 373 | 707 | 92719 | 719 | 92912 |
| 372 | 675 | 93394 | 666 | 93578 |
| 371 | 599 | 93993 | 610 | 94188 |
| 370 | 620 | 94613 | 616 | 94804 |
| 369 | 678 | 95291 | 674 | 95478 |
| 368 | 663 | 95954 | 667 | 96145 |
| 367 | 621 | 96575 | 630 | 96775 |
| 366 | 671 | 97246 | 646 | 97421 |
| 365 | 647 | 97893 | 644 | 98065 |
| 364 | 658 | 98551 | 647 | 98712 |
| 363 | 651 | 99202 | 648 | 99360 |
| 362 | 627 | 99829 | 607 | 99967 |
| 361 | 658 | 100487 | 653 | 100620 |
| 360 | 612 | 101099 | 620 | 101240 |
| 359 | 612 | 101711 | 626 | 101866 |
| 358 | 637 | 102348 | 651 | 102517 |
| 357 | 674 | 103022 | 671 | 103188 |
| 356 | 644 | 103666 | 647 | 103835 |
| 355 | 668 | 104334 | 662 | 104497 |
| 354 | 641 | 104975 | 656 | 105153 |
| 353 | 643 | 105618 | 644 | 105797 |
| 352 | 604 | 106222 | 605 | 106402 |
| 351 | 620 | 106842 | 629 | 107031 |
| 350 | 648 | 107490 | 645 | 107676 |
| 349 | 620 | 108110 | 600 | 108276 |
| 348 | 637 | 108747 | 628 | 108904 |
| 347 | 614 | 109361 | 613 | 109517 |
| 346 | 657 | 110018 | 669 | 110186 |
| 345 | 574 | 110592 | 576 | 110762 |
| 344 | 629 | 111221 | 615 | 111377 |
| 343 | 636 | 111857 | 636 | 112013 |
| 342 | 598 | 112455 | 598 | 112611 |
| 341 | 614 | 113069 | 608 | 113219 |
| 340 | 585 | 113654 | 592 | 113811 |
| 339 | 586 | 114240 | 579 | 114390 |
| 338 | 587 | 114827 | 593 | 114983 |
| 337 | 583 | 115410 | 577 | 115560 |
| 336 | 540 | 115950 | 538 | 116098 |
| 335 | 573 | 116523 | 576 | 116674 |
| 334 | 570 | 117093 | 583 | 117257 |
| 333 | 605 | 117698 | 603 | 117860 |
| 332 | 565 | 118263 | 556 | 118416 |
| 331 | 546 | 118809 | 561 | 118977 |
| 330 | 549 | 119358 | 544 | 119521 |
| 329 | 557 | 119915 | 550 | 120071 |
| 328 | 535 | 120450 | 524 | 120595 |
| 327 | 501 | 120951 | 504 | 121099 |
| 326 | 510 | 121461 | 509 | 121608 |
| 325 | 604 | 122065 | 606 | 122214 |
| 324 | 503 | 122568 | 501 | 122715 |
| 323 | 523 | 123091 | 525 | 123240 |
| 322 | 541 | 123632 | 543 | 123783 |
| 321 | 525 | 124157 | 517 | 124300 |
| 320 | 539 | 124696 | 542 | 124842 |
| 319 | 546 | 125242 | 540 | 125382 |
| 318 | 535 | 125777 | 527 | 125909 |
| 317 | 466 | 126243 | 473 | 126382 |
| 316 | 514 | 126757 | 506 | 126888 |
| 315 | 482 | 127239 | 475 | 127363 |
| 314 | 499 | 127738 | 498 | 127861 |
| 313 | 492 | 128230 | 495 | 128356 |
| 312 | 498 | 128728 | 497 | 128853 |
| 311 | 462 | 129190 | 469 | 129322 |
| 310 | 459 | 129649 | 461 | 129783 |
| 309 | 499 | 130148 | 483 | 130266 |
| 308 | 435 | 130583 | 445 | 130711 |
| 307 | 448 | 131031 | 448 | 131159 |
| 306 | 455 | 131486 | 451 | 131610 |
| 305 | 467 | 131953 | 458 | 132068 |
| 304 | 427 | 132380 | 421 | 132489 |
| 303 | 441 | 132821 | 447 | 132936 |
| 302 | 447 | 133268 | 441 | 133377 |
| 301 | 450 | 133718 | 435 | 133812 |
| 300 | 441 | 134159 | 451 | 134263 |
| 299 | 408 | 134567 | 414 | 134677 |
| 298 | 422 | 134989 | 429 | 135106 |
| 297 | 447 | 135436 | 457 | 135563 |
| 296 | 410 | 135846 | 405 | 135968 |
| 295 | 412 | 136258 | 406 | 136374 |
| 294 | 419 | 136677 | 417 | 136791 |
| 293 | 383 | 137060 | 380 | 137171 |
| 292 | 389 | 137449 | 395 | 137566 |
| 291 | 387 | 137836 | 387 | 137953 |
| 290 | 399 | 138235 | 402 | 138355 |
| 289 | 372 | 138607 | 377 | 138732 |
| 288 | 361 | 138968 | 353 | 139085 |
| 287 | 386 | 139354 | 375 | 139460 |
| 286 | 401 | 139755 | 389 | 139849 |
| 285 | 364 | 140119 | 366 | 140215 |
| 284 | 370 | 140489 | 369 | 140584 |
| 283 | 368 | 140857 | 372 | 140956 |
| 282 | 380 | 141237 | 370 | 141326 |
| 281 | 343 | 141580 | 342 | 141668 |
| 280 | 364 | 141944 | 360 | 142028 |
| 279 | 358 | 142302 | 363 | 142391 |
| 278 | 335 | 142637 | 334 | 142725 |
| 277 | 360 | 142997 | 362 | 143087 |
| 276 | 323 | 143320 | 325 | 143412 |
| 275 | 314 | 143634 | 314 | 143726 |
| 274 | 345 | 143979 | 333 | 144059 |
| 273 | 320 | 144299 | 314 | 144373 |
| 272 | 318 | 144617 | 321 | 144694 |
| 271 | 307 | 144924 | 305 | 144999 |
| 270 | 300 | 145224 | 293 | 145292 |
| 269 | 344 | 145568 | 339 | 145631 |
| 268 | 295 | 145863 | 304 | 145935 |
| 267 | 292 | 146155 | 288 | 146223 |
| 266 | 329 | 146484 | 323 | 146546 |
| 265 | 309 | 146793 | 301 | 146847 |
| 264 | 301 | 147094 | 301 | 147148 |
| 263 | 293 | 147387 | 293 | 147441 |
| 262 | 295 | 147682 | 299 | 147740 |
| 261 | 285 | 147967 | 285 | 148025 |
| 260 | 254 | 148221 | 249 | 148274 |
| 259 | 246 | 148467 | 247 | 148521 |
| 258 | 286 | 148753 | 282 | 148803 |
| 257 | 272 | 149025 | 272 | 149075 |
| 256 | 246 | 149271 | 248 | 149323 |
| 255 | 250 | 149521 | 254 | 149577 |
| 254 | 248 | 149769 | 247 | 149824 |
| 253 | 242 | 150011 | 235 | 150059 |
| 252 | 229 | 150240 | 230 | 150289 |
| 251 | 229 | 150469 | 223 | 150512 |
| 250 | 224 | 150693 | 225 | 150737 |
| 249 | 215 | 150908 | 212 | 150949 |
| 248 | 221 | 151129 | 214 | 151163 |
| 247 | 229 | 151358 | 221 | 151384 |
| 246 | 227 | 151585 | 229 | 151613 |
| 245 | 201 | 151786 | 199 | 151812 |
| 244 | 189 | 151975 | 191 | 152003 |
| 243 | 204 | 152179 | 205 | 152208 |
| 242 | 182 | 152361 | 179 | 152387 |
| 241 | 195 | 152556 | 194 | 152581 |
| 240 | 177 | 152733 | 178 | 152759 |
| 239 | 184 | 152917 | 186 | 152945 |
| 238 | 163 | 153080 | 156 | 153101 |
| 237 | 142 | 153222 | 140 | 153241 |
| 236 | 158 | 153380 | 153 | 153394 |
| 235 | 170 | 153550 | 171 | 153565 |
| 234 | 151 | 153701 | 152 | 153717 |
| 233 | 180 | 153881 | 178 | 153895 |
| 232 | 171 | 154052 | 173 | 154068 |
| 231 | 140 | 154192 | 138 | 154206 |
| 230 | 146 | 154338 | 144 | 154350 |
| 229 | 139 | 154477 | 135 | 154485 |
| 228 | 130 | 154607 | 130 | 154615 |
| 227 | 125 | 154732 | 127 | 154742 |
| 226 | 115 | 154847 | 114 | 154856 |
| 225 | 132 | 154979 | 134 | 154990 |
| 224 | 124 | 155103 | 121 | 155111 |
| 223 | 130 | 155233 | 127 | 155238 |
| 222 | 112 | 155345 | 111 | 155349 |
| 221 | 114 | 155459 | 114 | 155463 |
| 220 | 102 | 155561 | 103 | 155566 |
| 219 | 125 | 155686 | 125 | 155691 |
| 218 | 113 | 155799 | 112 | 155803 |
| 217 | 95 | 155894 | 95 | 155898 |
| 216 | 106 | 156000 | 106 | 156004 |
| 215 | 97 | 156097 | 98 | 156102 |
| 214 | 89 | 156186 | 90 | 156192 |
| 213 | 94 | 156280 | 93 | 156285 |
| 212 | 64 | 156344 | 63 | 156348 |
| 211 | 81 | 156425 | 79 | 156427 |
| 210 | 77 | 156502 | 80 | 156507 |
| 209 | 77 | 156579 | 76 | 156583 |
| 208 | 57 | 156636 | 57 | 156640 |
| 207 | 65 | 156701 | 66 | 156706 |
| 206 | 53 | 156754 | 54 | 156760 |
| 205 | 54 | 156808 | 51 | 156811 |
| 204 | 53 | 156861 | 54 | 156865 |
| 203 | 60 | 156921 | 59 | 156924 |
| 202 | 61 | 156982 | 61 | 156985 |
| 201 | 53 | 157035 | 53 | 157038 |
| 200 | 60 | 157095 | 60 | 157098 |
| 199 | 46 | 157141 | 46 | 157144 |
| 198 | 44 | 157185 | 46 | 157190 |
| 197 | 51 | 157236 | 49 | 157239 |
| 196 | 44 | 157280 | 44 | 157283 |
| 195 | 43 | 157323 | 42 | 157325 |
| 194 | 64 | 157387 | 63 | 157388 |
| 193 | 52 | 157439 | 52 | 157440 |
| 192 | 41 | 157480 | 41 | 157481 |
| 191 | 31 | 157511 | 31 | 157512 |
| 190 | 40 | 157551 | 41 | 157553 |
| 189 | 41 | 157592 | 41 | 157594 |
| 188 | 25 | 157617 | 24 | 157618 |
| 187 | 37 | 157654 | 37 | 157655 |
| 186 | 35 | 157689 | 36 | 157691 |
| 185 | 27 | 157716 | 28 | 157719 |
| 184 | 24 | 157740 | 24 | 157743 |
| 183 | 13 | 157753 | 14 | 157757 |
| 182 | 25 | 157778 | 25 | 157782 |
| 181 | 19 | 157797 | 19 | 157801 |
| 180 | 19 | 157816 | 18 | 157819 |
| 179 | 19 | 157835 | 19 | 157838 |
| 178 | 12 | 157847 | 12 | 157850 |
| 177 | 27 | 157874 | 26 | 157876 |
| 176 | 24 | 157898 | 23 | 157899 |
| 175 | 15 | 157913 | 14 | 157913 |
| 174 | 16 | 157929 | 16 | 157929 |
| 173 | 19 | 157948 | 20 | 157949 |
| 172 | 11 | 157959 | 11 | 157960 |
| 171 | 15 | 157974 | 15 | 157975 |
| 170 | 19 | 157993 | 18 | 157993 |
| 169 | 16 | 158009 | 16 | 158009 |
| 168 | 15 | 158024 | 15 | 158024 |
| 167 | 7 | 158031 | 7 | 158031 |
| 166 | 16 | 158047 | 16 | 158047 |
| 165 | 12 | 158059 | 12 | 158059 |
| 164 | 14 | 158073 | 14 | 158073 |
| 163 | 11 | 158084 | 11 | 158084 |
| 162 | 12 | 158096 | 12 | 158096 |
| 161 | 13 | 158109 | 13 | 158109 |
| 160 | 9 | 158118 | 9 | 158118 |
| 159 | 10 | 158128 | 10 | 158128 |
| 158 | 9 | 158137 | 9 | 158137 |
| 157 | 11 | 158148 | 11 | 158148 |
| 156 | 4 | 158152 | 4 | 158152 |
| 155 | 6 | 158158 | 6 | 158158 |
| 154 | 6 | 158164 | 6 | 158164 |
| 153 | 3 | 158167 | 3 | 158167 |
| 152 | 6 | 158173 | 6 | 158173 |
| 151 | 7 | 158180 | 7 | 158180 |
| 150 | 7 | 158187 | 7 | 158187 |
| 149 | 10 | 158197 | 10 | 158197 |
| 148 | 9 | 158206 | 9 | 158206 |
| 147 | 11 | 158217 | 11 | 158217 |
| 146 | 7 | 158224 | 7 | 158224 |
| 145 | 2 | 158226 | 2 | 158226 |
| 144 | 5 | 158231 | 5 | 158231 |
| 143 | 3 | 158234 | 3 | 158234 |
| 142 | 3 | 158237 | 3 | 158237 |
| 141 | 4 | 158241 | 4 | 158241 |
| 140 | 6 | 158247 | 6 | 158247 |
| 139 | 2 | 158249 | 2 | 158249 |
| 138 | 2 | 158251 | 2 | 158251 |
| 137 | 3 | 158254 | 3 | 158254 |
| 135 | 2 | 158256 | 2 | 158256 |
| 134 | 4 | 158260 | 4 | 158260 |
| 133 | 2 | 158262 | 3 | 158263 |
| 132 | 4 | 158266 | 4 | 158267 |
| 131 | 7 | 158273 | 7 | 158274 |
| 130 | 5 | 158278 | 4 | 158278 |
| 129 | 1 | 158279 | 1 | 158279 |
| 128 | 1 | 158280 | 1 | 158280 |
| 127 | 4 | 158284 | 4 | 158284 |
| 126 | 5 | 158289 | 5 | 158289 |
| 125 | 2 | 158291 | 2 | 158291 |
| 124 | 3 | 158294 | 3 | 158294 |
| 123 | 1 | 158295 | 1 | 158295 |
| 122 | 3 | 158298 | 3 | 158298 |
| 121 | 1 | 158299 | 1 | 158299 |
| 120 | 1 | 158300 | 1 | 158300 |
| 119 | 4 | 158304 | 4 | 158304 |
| 118 | 1 | 158305 | 1 | 158305 |
| 117 | 1 | 158306 | 1 | 158306 |
| 116 | 2 | 158308 | 2 | 158308 |
| 115 | 2 | 158310 | 2 | 158310 |
| 114 | 1 | 158311 | 1 | 158311 |
| 113 | 3 | 158314 | 3 | 158314 |
| 112 | 2 | 158316 | 2 | 158316 |
| 111 | 1 | 158317 | 1 | 158317 |
| 109 | 1 | 158318 | 1 | 158318 |
| 108 | 2 | 158320 | 3 | 158321 |
| 107 | 1 | 158321 | 1 | 158322 |
| 106 | 2 | 158323 | 2 | 158324 |
| 100 | 1 | 158324 | 1 | 158325 |
| 100以下 | 1165 | 159489 | 1164 | 159489 |
Copyright 2019-2029 http://www.98gaokao.com 【九八高考】 皖ICP备19022700号-4
声明: 本站 所有软件和文章来自互联网 如有异议 请与本站联系 本站为非赢利性网站 不接受任何赞助和广告