专为高中生提供有价值的资讯
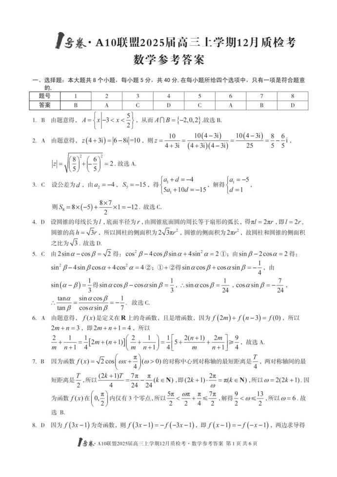
1.2025届安徽A10联盟高三12月联考数学试题及答案解析
2.2025届安徽A10联盟高三12月联考语文试题及答案解析
3.2025届安徽A10联盟高三12月联考各科试题及答案汇总
4.2025湖南艺术统考/联考成绩查询时间及入口
5.2025届安徽A10联盟高三12月联考地理试题及答案解析
6.2025湖北艺术统考/联考成绩查询时间及入口
7.2025届安徽A10联盟高三12月联考历史试题及答案解析
8.2025河南艺术统考/联考成绩查询时间及入口
浙江湖州高考复读全封闭学校有哪些
平板电脑高中还有用吗 该不该买平板电脑
迈阿密大学有哪些专业 读完好找工作吗
迈阿密大学申请条件 有哪些要求
迈阿密大学一年学费多少钱 读完有用吗
科罗拉多大学博尔德分校读几年 通常需要多久毕业
科罗拉多大学博尔德分校哪个专业最牛 读完好就业吗
科罗拉多大学博尔德分校申请时间 几月份截止
科罗拉多大学博尔德分校好考吗 需要哪些条件
科罗拉多大学博尔德分校的学费 提供哪些奖学金
Copyright 2019-2029 http://www.98gaokao.com 【九八高考】 皖ICP备19022700号-4
声明: 本站 所有软件和文章来自互联网 如有异议 请与本站联系 本站为非赢利性网站 不接受任何赞助和广告