专为高中生提供有价值的资讯
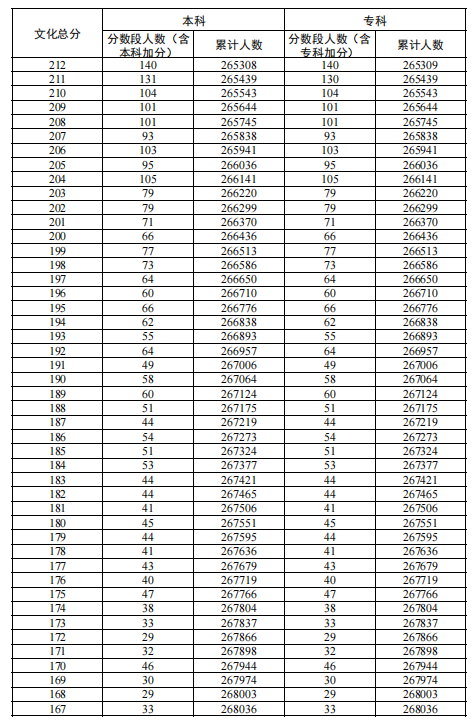
2025年广东高考历史类一分一段表目前还没有发布,小编整理了2024年广东高考历史类一分一段表的内容,大家可以参考,其中660分累计人数46人;652分累计人数118人;639分累计人数302人。以下是小编整理的详细内容,大家可以看一看。

一分一段表可以让考生对每一个分数段上有多少人一目了然,也能清楚确定自己高考成绩在全省的位置,实现精准定位,同时根据目标院校往年录取的位次情况,可以缩小目标院校范围等,用处非常多。2025广东高考历史类一分一段表还没有发布,以下是小编整理的2024年广东高考历史类一分一段表,供2025考生参考。













一、帮助考生准确评估竞争力
一分一段表以“1分”为单位,统计了全省各科类(如普通类历史、物理,以及体育类、美术与设计类等)考生在各个分数段的分布情况,包括每个分数段内的考生人数和累计人数。这使得广东高考考生能够清晰地了解自己在全省考生中的位置,从而准确评估自己的竞争力。
二、辅助志愿填报
划定录取批次范围:广东高考考生可以通过一分一段表,大致预估各批次分数线,明确自己的录取批次范围。
确定目标院校和专业:广东高考考生可以根据自己的分数和位次,结合目标院校和专业的历年录取情况,进行科学合理的选择。通过对比自己的分数和位次与目标院校专业的录取分数和位次,考生可以评估自己被录取的可能性,从而制定更加合理的志愿方案。
分析志愿梯度:考生可以利用广东高考一分一段表分析志愿梯度,确保填报的志愿既具有挑战性又不失稳妥,提高录取成功率。
第一步 在“一分一段表”中找准位置填报志愿最关键的第一步,是在“一分一段表”中查找与自己成绩相对应的分数排名和这一位次成绩共有多少考生,以确定个人成绩在全省的位置。
通过一分一段表,广东高考考生可以知道自己的高考成绩在今年全省同科类考生中的位次(排名),再对比预填报学校往年校线分数所对应的位次,如果两个位次一致和相当,填报后录取的可能性就大;如果两者相差过大,落选的可能性就大。
找准位次,应该比单纯比较分数更准确。因此,广东高考考生不能仅凭分数填报志愿,而应充分利用“一分一段表”,以成绩排名作为填报参考。
Copyright 2019-2029 http://www.98gaokao.com 【九八高考】 皖ICP备19022700号-4
声明: 本站 所有软件和文章来自互联网 如有异议 请与本站联系 本站为非赢利性网站 不接受任何赞助和广告