专为高中生提供有价值的资讯
广东2025届高三八校开学联考数学试题及答案解析
2024贵州高考数学真题及答案解析汇总
2025云南新高考八省联考适应性演练数学试题及答案解析
2025内蒙古新高考八省联考适应性演练数学试题及答案解析
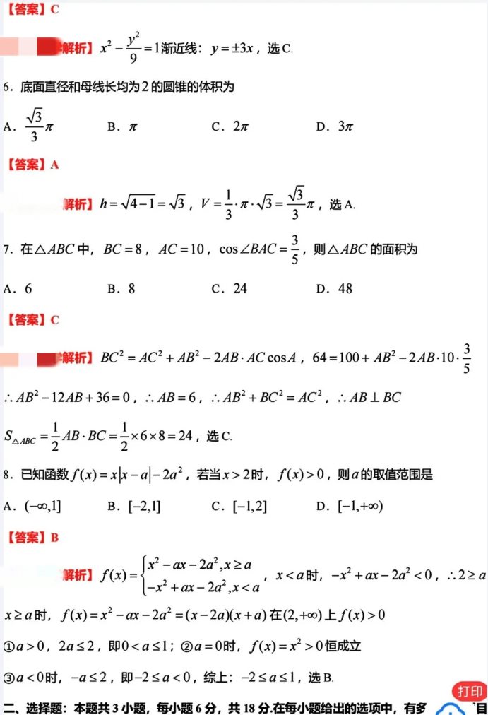
2025陕西新高考八省联考适应性演练数学试题及答案解析
2025山西新高考八省联考适应性演练数学试题及答案解析
2025四川新高考八省联考适应性演练数学试题及答案解析
2025河南新高考八省联考适应性演练数学试题及答案解析
2025年1月高三新高考八省联考适应性演练数学试题及答案
2025甘肃高三高考一诊数学试题及答案参考
Copyright 2019-2029 http://www.98gaokao.com 【九八高考】 皖ICP备19022700号-4
声明: 本站 所有软件和文章来自互联网 如有异议 请与本站联系 本站为非赢利性网站 不接受任何赞助和广告