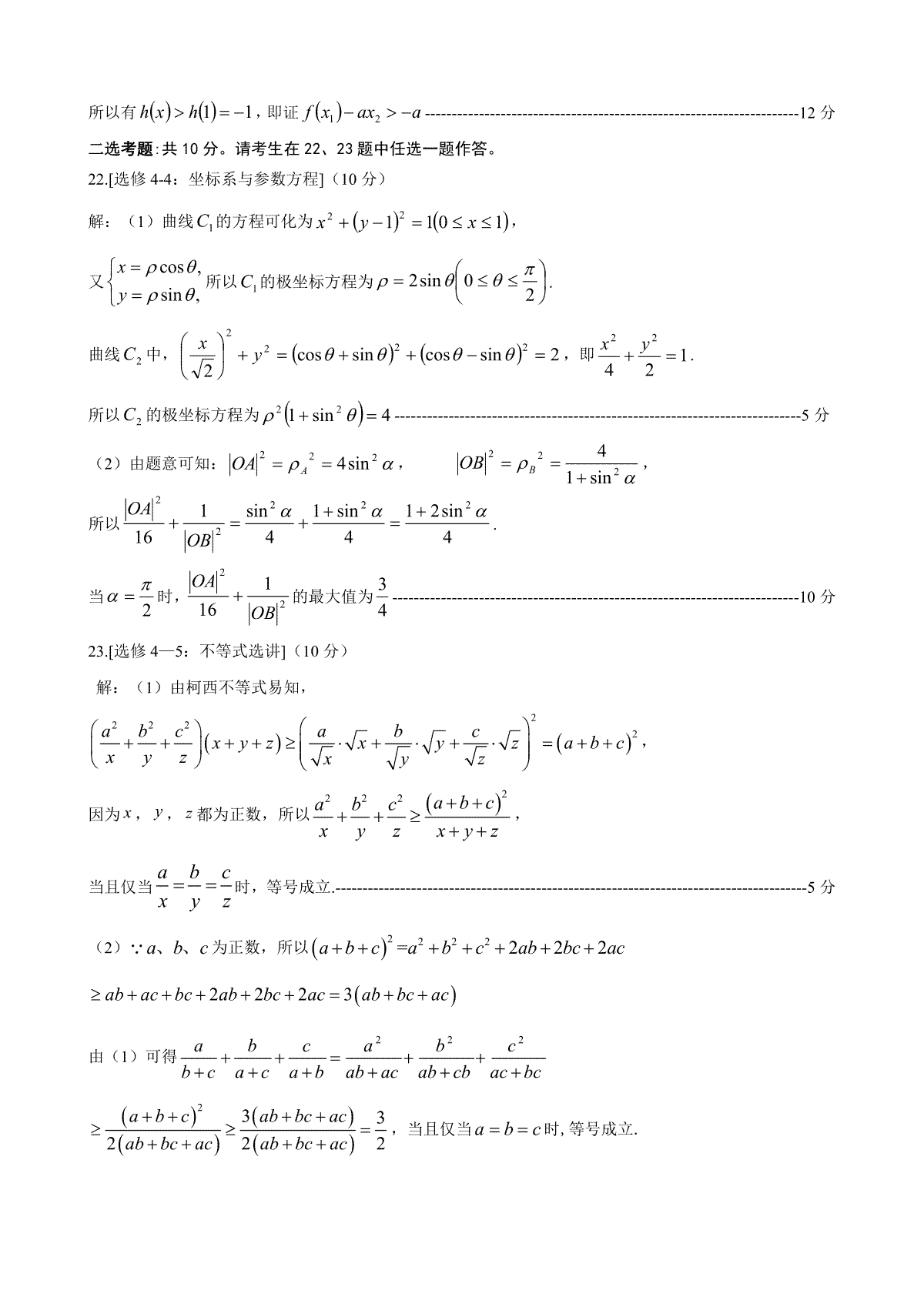
2023河南郑州三模高三理数答案
时间:2023-05-11作者:忆锋一键复制全文保存为WORD
2023河南郑州三模高三理数答案于近期开考,本次考试对考生对知识的掌握参考价值大,为了方便大家复习掌握错题!小编在下文为大家准备了2023河南郑州三模高三理数答案试卷及答案解析详情,仅供考生参考。
如果你想下载2023河南郑州三模高三理数答案DOC或PDF版,请点击本文末链接!
一、2023河南郑州三模高三理数答案







下载2023河南郑州三模高三理数答案PDF格式或doc
小编推荐
1.2023河南郑州三模高三理数答案
2.2023河南郑州三模高三文综答案
3.2023河南郑州三模高三文综
4.2023河南郑州三模高三文数试卷
5.2023河南郑州三模高三文数答案
6.2023许洛平济四模高三语文答案
7.2023许洛平济四模高三语文
8.2023许洛平济四模高三英语答案