2023长春四模高三数学答案
时间:2023-05-13作者:明天爱谁一键复制全文保存为WORD
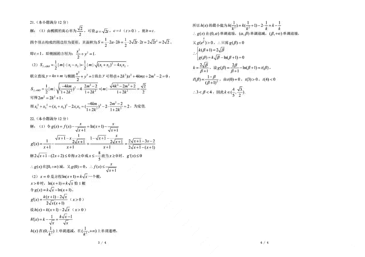
2023长春四模高三数学答案于近期开考,本次考试对考生对知识的掌握参考价值大,为了方便大家复习掌握错题!小编在下文为大家准备了2023长春四模高三数学答案试卷及答案解析详情,仅供考生参考。
如果你想下载2023长春四模高三数学答案DOC或PDF版,请点击本文末链接!
一、2023长春四模高三数学答案


下载2023长春四模高三数学答案PDF格式或doc
小编推荐
1.2023长春四模高三数学答案
2.2023长春四模高三数学
3.2023唐山三模高三语文答案
4.2023唐山三模高三语文
5.2023唐山三模高三英语答案
6.2023唐山三模高三生物答案
7.河北省2023唐山三模高三物理试题
8.2023唐山三模高三物理答案