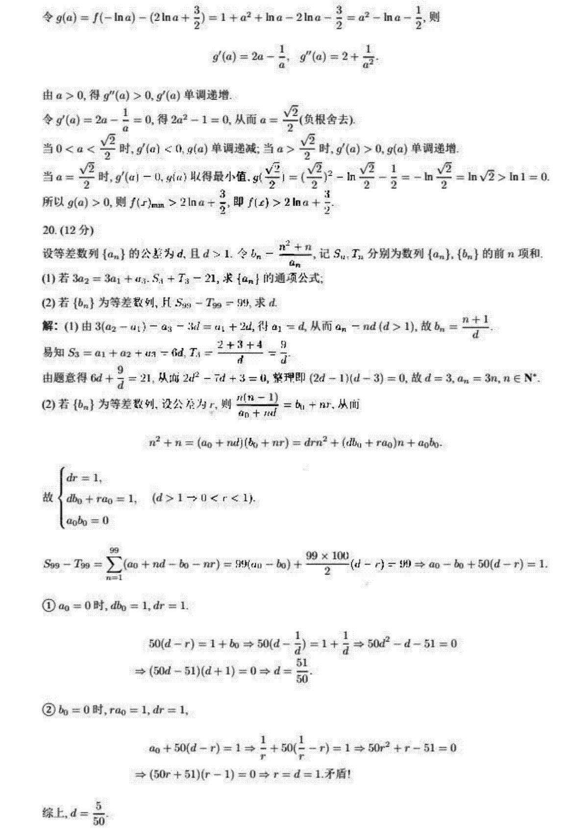
2023新高考数学一卷
时间:2023-06-08作者:何玉华一键复制全文保存为WORD
2023新高考数学一卷于近期开考,本次考试对考生对知识的掌握参考价值大,为了方便大家复习掌握错题!小编在下文为大家准备了2023新高考数学一卷试卷及答案解析详情,仅供考生参考。
如果你想下载2023新高考数学一卷DOC或PDF版,请点击本文末链接!
一、2023新高考数学一卷










下载2023新高考数学一卷PDF格式或doc
小编推荐
1.2023新高考数学一卷
2.2023新高考数学真题乙卷
3.2023新高考II卷数学试卷
4.2023合肥168最后一卷语文答案
5.2023合肥168最后一卷语文
6.2023合肥168最后一卷英语答案
7.2023合肥168最后一卷英语
8.2023合肥168最后一卷理综答案