专为高中生提供有价值的资讯
2024年高考数学专题测试模拟卷(新高考专用第四章 三角函数(解析卷)于近期开考,本次考试对考生对知识的掌握参考价值大,为了方便大家复习掌握错题!小编在下文为大家准备了2024年高考数学专题测试模拟卷(新高考专用第四章 三角函数(解析卷)试卷及答案解析详情,仅供考生参考。
如果你想下载2024年高考数学专题测试模拟卷(新高考专用第四章 三角函数(解析卷)DOC或PDF版,请点击本文末链接!
一、2024年高考数学专题测试模拟卷(新高考专用第四章 三角函数(解析卷)

















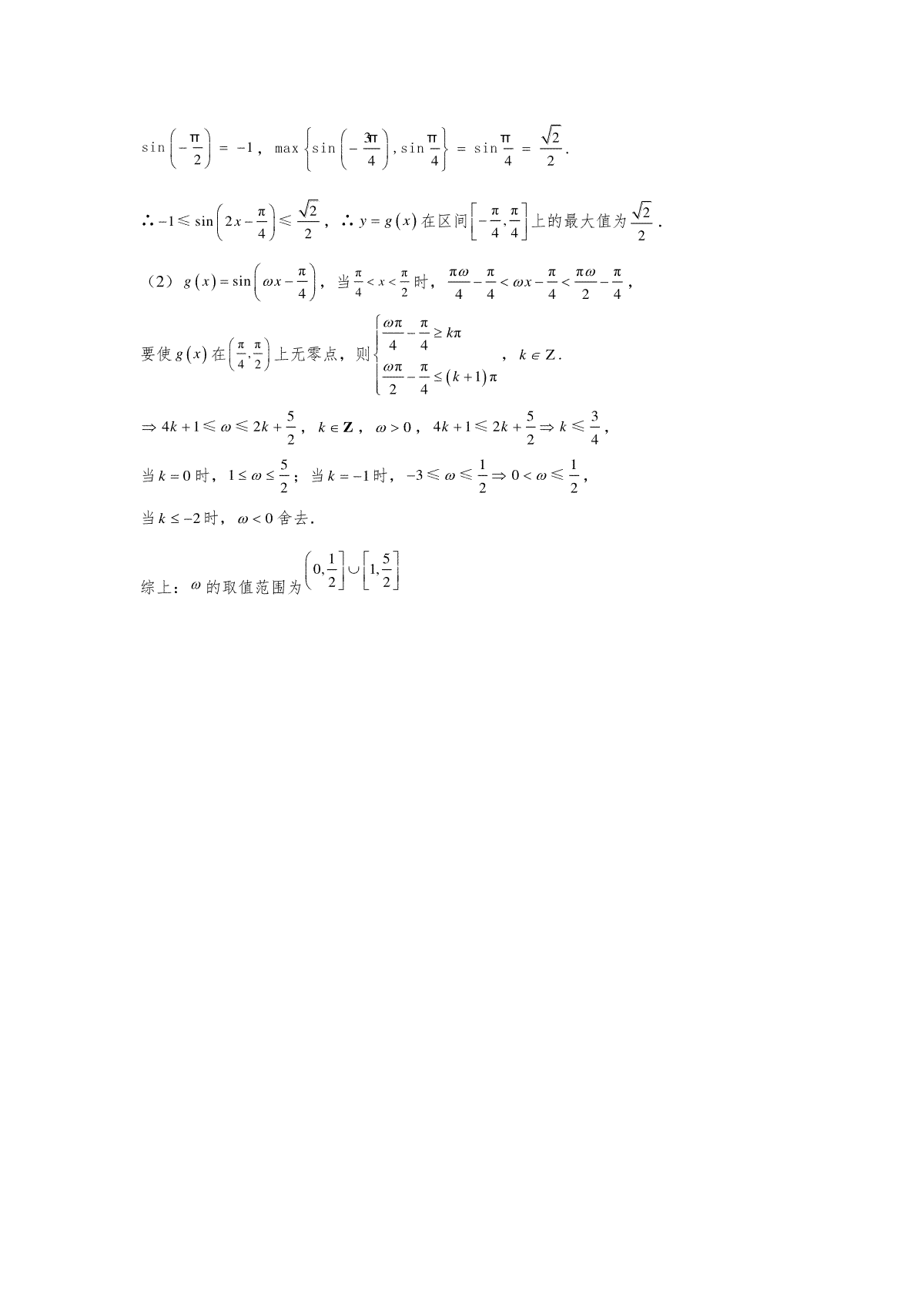
1.2024年高考数学专题测试模拟卷(新高考专用第四章 三角函数(解析卷)
2.2024年高考阶段性检测名校重组卷(新高考)第一章 集合、常用逻辑用语、不等式(原题版)
3.2024年高考数学专题测试模拟卷(新高考专用第二章 函数(原题版)
4.2024年高考数学专题测试模拟卷(新高考专用第二章 函数(解析卷)
5.2024年高考阶段性检测名校重组卷(新高考)第一章 集合、常用逻辑用语、不等式(解析卷)
6.2024年高考数学专题测试模拟卷(新高考专用第三章 导数及其应用(解析版)
Copyright 2019-2029 http://www.98gaokao.com 【九八高考】 皖ICP备19022700号-4
声明: 本站 所有软件和文章来自互联网 如有异议 请与本站联系 本站为非赢利性网站 不接受任何赞助和广告