专为高中生提供有价值的资讯
铁人中学2021级高三上学期期中考试数学答案于近期开考,本次考试对考生对知识的掌握参考价值大,为了方便大家复习掌握错题!小编在下文为大家准备了铁人中学2021级高三上学期期中考试数学答案试卷及答案解析详情,仅供考生参考。
如果你想下载铁人中学2021级高三上学期期中考试数学答案DOC或PDF版,请点击本文末链接!
一、铁人中学2021级高三上学期期中考试数学答案
下载铁人中学2021级高三上学期期中考试数学答案PDF格式或doc
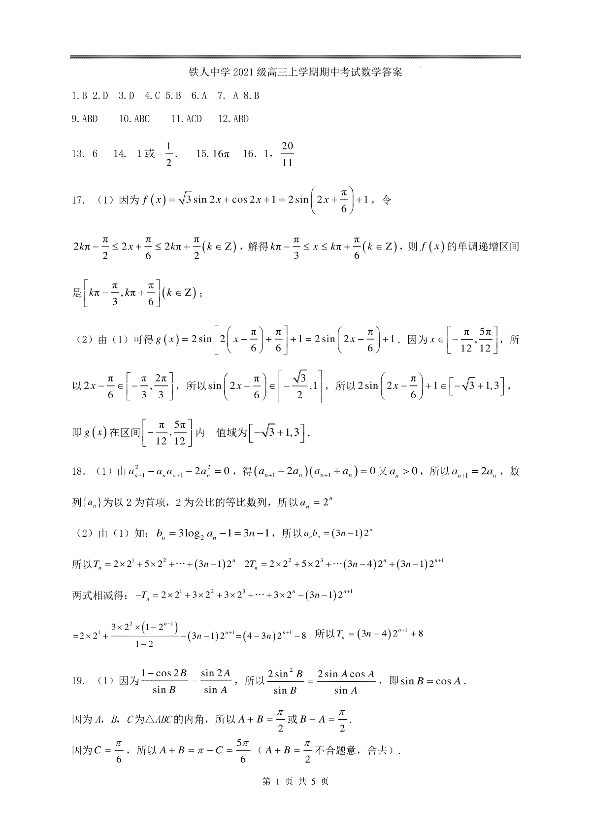
1.铁人中学2021级高三上学期期中考试数学答案
2.铁人中学2021级高三上学期期中考试数学试题
3.铁人中学2021级高三上学期期中考试语文试题答题卡
4.铁人中学2021级高三上学期期中考试英语答题卡
5.铁人中学2021级高三上学期期中考试数学答题卡
6.铁人中学2021级高三上学期期中考试试题
7.铁人中学2021级高三上学期期中考试试题(历史学科)
8.铁人中学2021级高三上学期期中考试化学试题
浙江湖州高考复读全封闭学校有哪些
平板电脑高中还有用吗 该不该买平板电脑
山西省临汾市2023-2024学年高三上学期11月期中考试化学三晋名校联盟高三期中简易答案
山东省日照市2023-2024学年高三上学期期中考试生物试题
山东省日照市2023-2024学年高三上学期期中考试物理试题
山东省日照市2023-2024学年高三上学期期中考试语文试题
山东省日照市2023-2024学年高三上学期期中考试数学试题
山东省日照市2023-2024学年高三上学期期中考试地理试题
山东省日照市2021级高三上学期期中校际联合考试生物试题
山东省日照市2021级高三上学期期中校际联合考试生物试题答案
Copyright 2019-2029 http://www.98gaokao.com 【九八高考】 皖ICP备19022700号-4
声明: 本站 所有软件和文章来自互联网 如有异议 请与本站联系 本站为非赢利性网站 不接受任何赞助和广告