专为高中生提供有价值的资讯
数学-重庆市拔尖强基联盟(西南大学附中 重庆育才中学)2023-2024学年高三上学期12月月考于近期开考,本次考试对考生对知识的掌握参考价值大,为了方便大家复习掌握错题!小编在下文为大家准备了数学-重庆市拔尖强基联盟(西南大学附中 重庆育才中学)2023-2024学年高三上学期12月月考试卷及答案解析详情,仅供考生参考。
如果你想下载数学-重庆市拔尖强基联盟(西南大学附中 重庆育才中学)2023-2024学年高三上学期12月月考DOC或PDF版,请点击本文末链接!
一、数学-重庆市拔尖强基联盟(西南大学附中 重庆育才中学)2023-2024学年高三上学期12月月考











1.数学-重庆市拔尖强基联盟(西南大学附中 重庆育才中学)2023-2024学年高三上学期12月月考
2.生物-重庆市拔尖强基联盟(西南大学附中 重庆育才中学)2023-2024学年高三上学期12月月考
3.历史-重庆市拔尖强基联盟(西南大学附中 重庆育才中学)2023-2024学年高三上学期12月月考
4.化学-重庆市拔尖强基联盟(西南大学附中 重庆育才中学)2023-2024学年高三上学期12月月考
5.英语-重庆市拔尖强基联盟(西南大学附中 重庆育才中学)2023-2024学年高三上学期12月月考
6.地理-重庆市拔尖强基联盟(西南大学附中 重庆育才中学)2023-2024学年高三上学期12月月考
Copyright 2019-2029 http://www.98gaokao.com 【九八高考】 皖ICP备19022700号-4
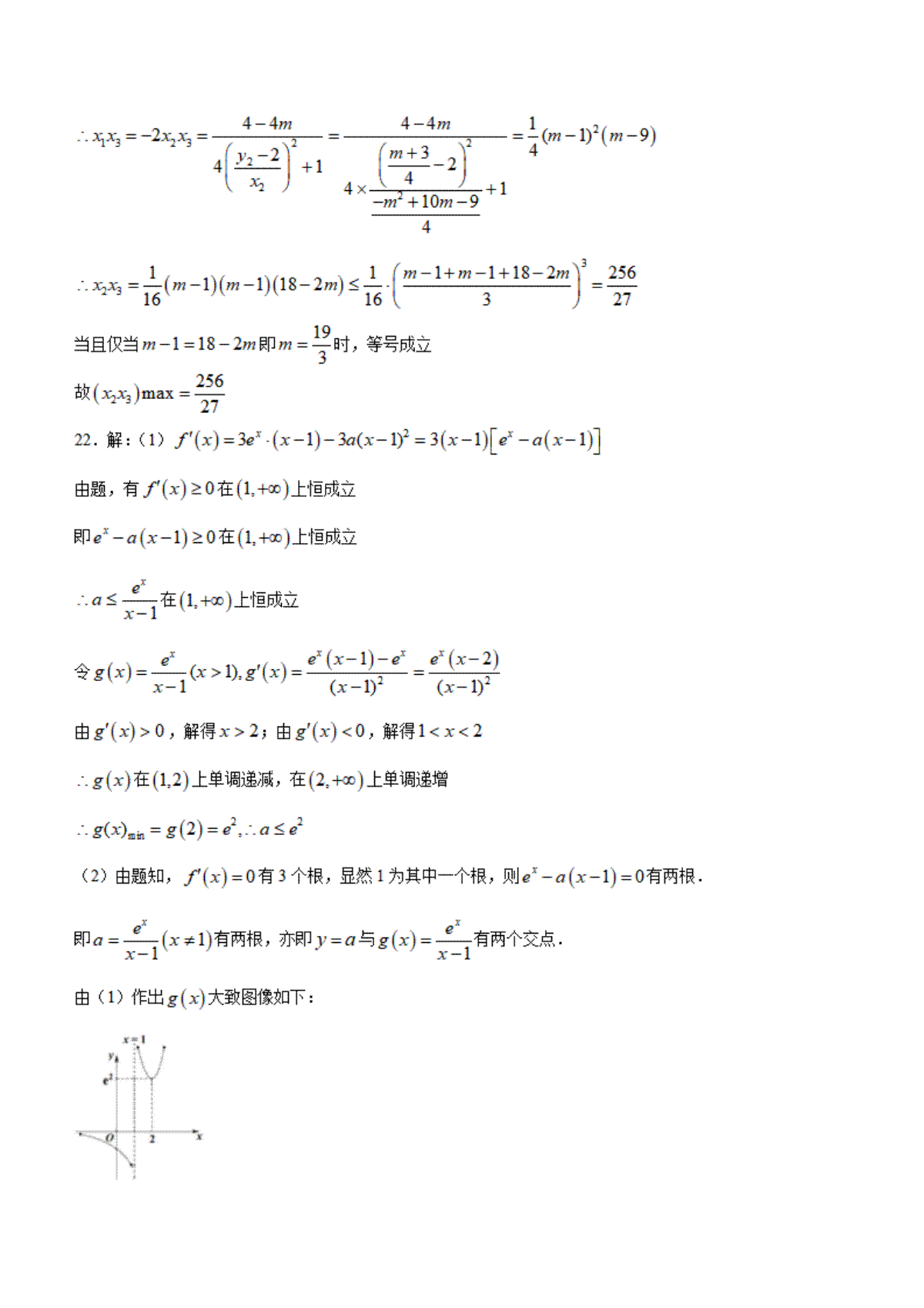
声明: 本站 所有软件和文章来自互联网 如有异议 请与本站联系 本站为非赢利性网站 不接受任何赞助和广告