专为高中生提供有价值的资讯
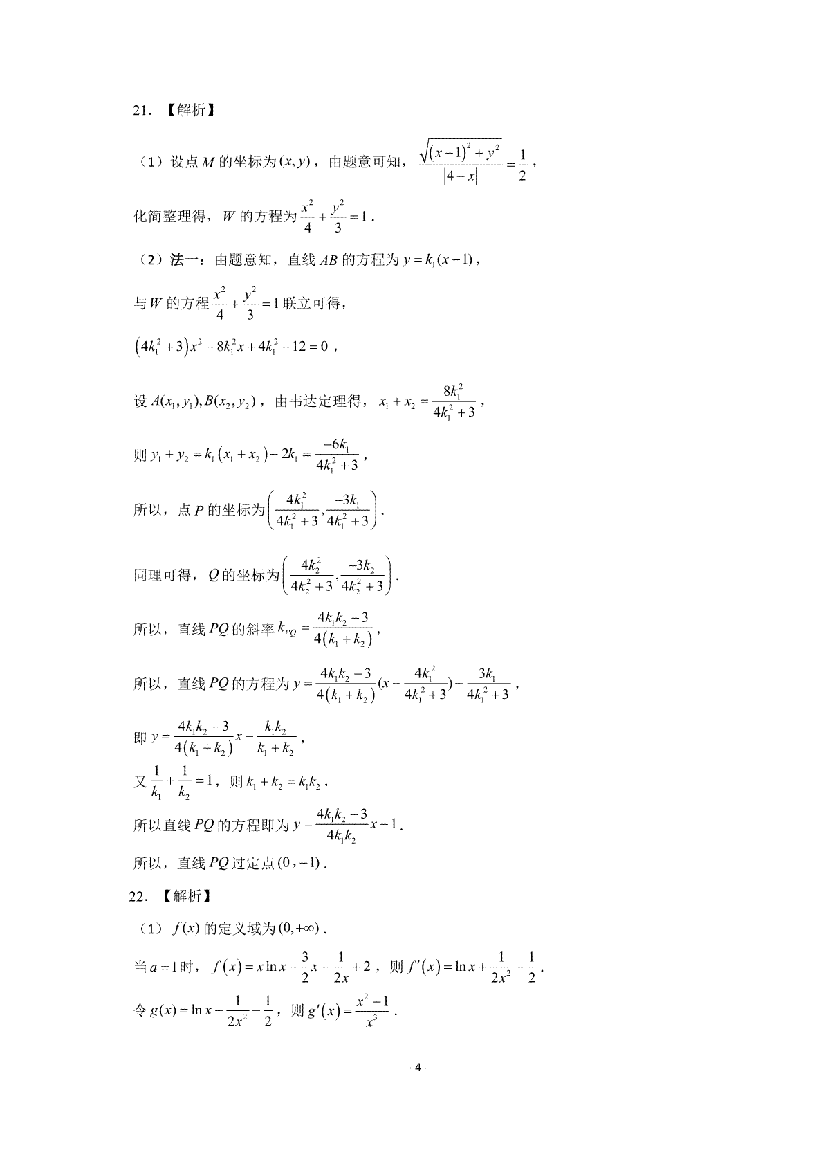
2024年1月高三期末数学参考答案于近期开考,本次考试对考生对知识的掌握参考价值大,为了方便大家复习掌握错题!小编在下文为大家准备了2024年1月高三期末数学参考答案试卷及答案解析详情,仅供考生参考。
如果你想下载2024年1月高三期末数学参考答案DOC或PDF版,请点击本文末链接!
一、2024年1月高三期末数学参考答案
下载2024年1月高三期末数学参考答案PDF格式或doc
1.2024年1月高三期末数学参考答案
2.2023-2024济南高三上学期期末生物评分细则
3.2023-2024济南高三上学期期末考试生物试题
4.2023-2024济南高三上学期期末语文答案
5.2023-2024济南高三上学期期末英语参考答案
6.2023-2024济南高三上学期期末历史试题参考答案及评卷细则
7.2023-2024济南高三上学期期末考试语文试题
8.2023-2024济南高三上学期期末考试数学试题
浙江湖州高考复读全封闭学校有哪些
平板电脑高中还有用吗 该不该买平板电脑
新高考七省卷03(安徽)(考试版A4)
新高考七省卷03(安徽)(答题卡A4)
新高考七省卷02(贵州、甘肃)(全解全析)
新高考七省卷03(安徽)(参考答案)
新高考七省卷02(贵州、甘肃)(考试版A4)
新高考七省卷02(贵州、甘肃)(答题卡A4)
新高考七省卷01(江西、广西、黑龙江、吉林)(全解全析)
新高考七省卷02(贵州、甘肃)(参考答案)
Copyright 2019-2029 http://www.98gaokao.com 【九八高考】 皖ICP备19022700号-4
声明: 本站 所有软件和文章来自互联网 如有异议 请与本站联系 本站为非赢利性网站 不接受任何赞助和广告