专为高中生提供有价值的资讯
河北省2023-2024学年高三下学期2月大数据应用调研联合测评Ⅴ数学试题于近期开考,本次考试对考生对知识的掌握参考价值大,为了方便大家复习掌握错题!小编在下文为大家准备了河北省2023-2024学年高三下学期2月大数据应用调研联合测评Ⅴ数学试题试卷及答案解析详情,仅供考生参考。
如果你想下载河北省2023-2024学年高三下学期2月大数据应用调研联合测评Ⅴ数学试题DOC或PDF版,请点击本文末链接!
一、河北省2023-2024学年高三下学期2月大数据应用调研联合测评Ⅴ数学试题














1.河北省2023-2024学年高三下学期2月大数据应用调研联合测评Ⅴ数学试题
2.河北省2023-2024学年高三下学期2月大数据应用调研联合测评Ⅴ历史试题
3.河北省邢台市五岳联盟2023-2024学年高三下学期开学英语试题
4.河北省2023-2024强基名校联盟高三年级下学期开学联考语文试题
5.河北省2024届金太阳高三强基联盟(第一期)(322C)数学试题(无答案)
6.河北省2024届金太阳高三强基联盟(第一期)(322C)语文答案
Copyright 2019-2029 http://www.98gaokao.com 【九八高考】 皖ICP备19022700号-4
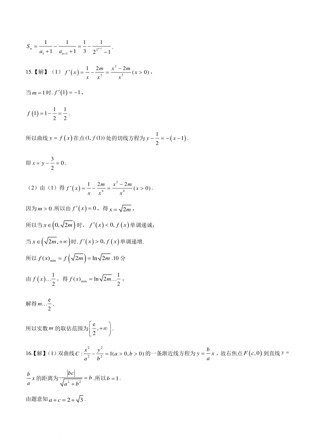
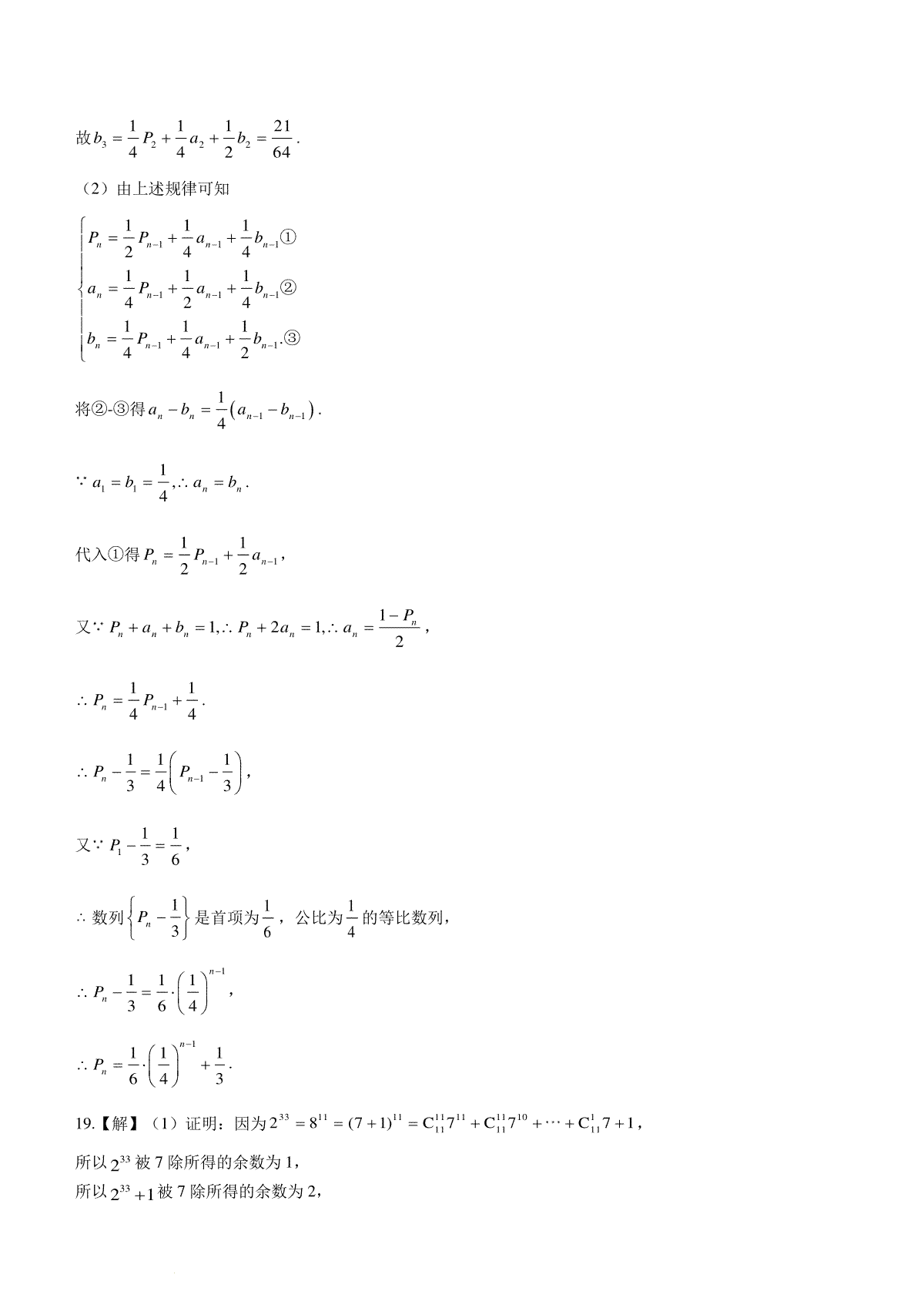
声明: 本站 所有软件和文章来自互联网 如有异议 请与本站联系 本站为非赢利性网站 不接受任何赞助和广告