专为高中生提供有价值的资讯
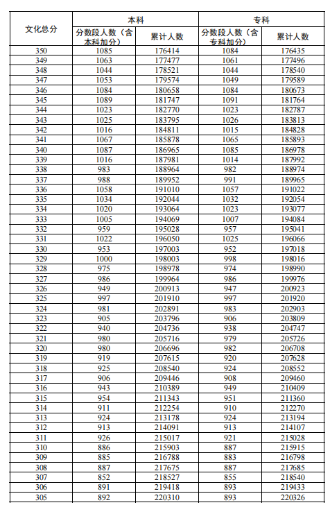
广东省教育考试院已经公布了2024年度广东高考成绩一分一段表,广东高考生可以根据一分一段表,对应自己的分数,知道自己在全省的位次排名情况,并对之后的志愿填报作出重要参考。完整版广东高考一分一段表小编整理在下方了,一起来看看吧。

一、广东2024高考历史类一分一段表













二、广东2024高考物理类一分一段表














一分一段表是一种重要的高考志愿填报辅助工具,它的主要用处包括:
1、精确定位考生排名:一分一段表以1分为间隔,展示了每个分数上获得该分数的考生人数以及累计到该分数的总人数。这样,考生可以知道自己在全省考生中的准确排名位置,这对于评估自己的竞争力非常关键。
2. 帮助志愿填报:通过了解自己所在位次,考生可以更合理地选择目标院校和专业。因为高校录取时往往是按照考生的位次而非绝对分数进行的,所以一分一段表能帮助考生更好地判断自己被某个学校或专业录取的可能性。
3. 分析录取概率:考生可以根据往年的高校录取位次区间,结合自己今年的成绩位次,分析自己被不同层次学校录取的概率,从而做出更为理性的志愿选择。
4. 避免志愿扎堆:通过查看同分段考生的数量,考生可以了解到与自己成绩相近的竞争者有多少,有助于避免因志愿填报过于集中而导致的竞争加剧。
5. 辅助判断批次线:虽然批次线由教育考试院最终确定,但一分一段表的数据可以帮助考生大致预估各批次分数线,为志愿填报提供一个初步的框架。
6. 稳定志愿策略:无论高考分数线如何波动,考生的位次相对稳定,利用位次比单纯依赖分数更能稳健地制定志愿填报策略。
综上所述,一分一段表是考生在高考后进行志愿填报不可或缺的参考资料,它帮助考生更加科学、精准地规划升学路径。
6.广东2024高考特殊类型招生专业目录(物理类) 能报哪些专业
Copyright 2019-2029 http://www.98gaokao.com 【九八高考】 皖ICP备19022700号-4
声明: 本站 所有软件和文章来自互联网 如有异议 请与本站联系 本站为非赢利性网站 不接受任何赞助和广告