专为高中生提供有价值的资讯
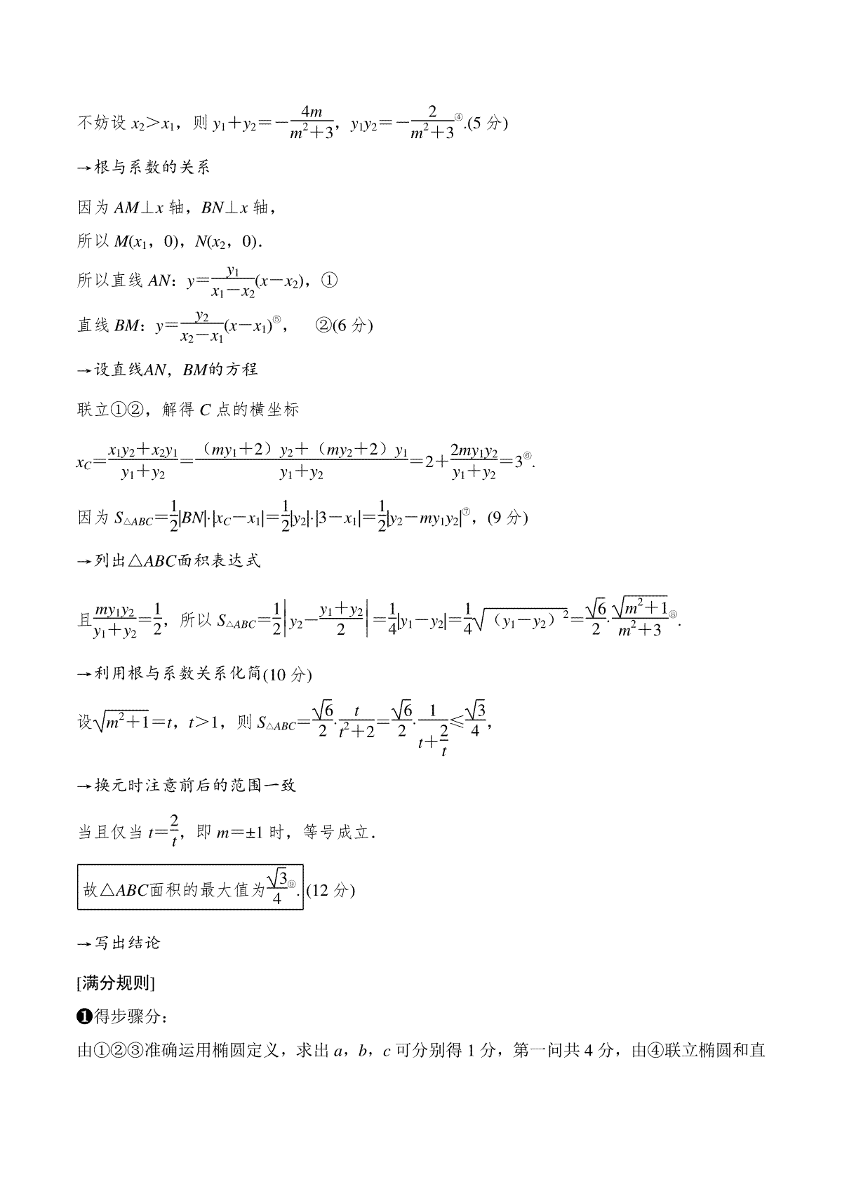
高中数学通用两周搞定圆锥曲线题型透析第十一讲 圆锥曲线中的最值与范围问题(教师版)于近期开考,本次考试对考生对知识的掌握参考价值大,为了方便大家复习掌握错题!小编在下文为大家准备了高中数学通用两周搞定圆锥曲线题型透析第十一讲 圆锥曲线中的最值与范围问题(教师版)试卷及答案解析详情,仅供考生参考。
如果你想下载高中数学通用两周搞定圆锥曲线题型透析第十一讲 圆锥曲线中的最值与范围问题(教师版)DOC或PDF版,请点击本文末链接!
一、高中数学通用两周搞定圆锥曲线题型透析第十一讲 圆锥曲线中的最值与范围问题(教师版)

































1.高中数学通用两周搞定圆锥曲线题型透析第十一讲 圆锥曲线中的最值与范围问题(教师版)
2.高中数学通用两周搞定圆锥曲线题型透析第四节 直线与圆、圆与圆的位置关系(教师版)
3.高中数学通用两周搞定圆锥曲线题型透析第十四讲 圆锥曲线在高考压轴题目中的考法探究(原卷版)
4.高中数学通用两周搞定圆锥曲线题型透析第十四讲 圆锥曲线在高考压轴题目中的考法探究(教师版)
5.高中数学通用两周搞定圆锥曲线题型透析第十三讲 圆锥曲线在高考小题中的考法探究(原卷版)
6.高中数学通用两周搞定圆锥曲线题型透析第十节 圆锥曲线中的定值问题(原卷版)
Copyright 2019-2029 http://www.98gaokao.com 【九八高考】 皖ICP备19022700号-4
声明: 本站 所有软件和文章来自互联网 如有异议 请与本站联系 本站为非赢利性网站 不接受任何赞助和广告